ProLibreOffice
Если у вас есть много формул Math в текстовом документе Writer, электронной таблице Calc, презентации Impress или рисунке Draw, и вам нужно во всех этих формулах изменить размер или шрифт, то вам придется ручками открывать каждую формулу в Редакторе формул и делать соответствующие изменения для каждой формулы отдельно. Это потому, что формула Math — это отдельный объект со своими свойствами, не имеющий своего стиля, через который можно было бы варьировать его форматирование.
По большому счету уже давным давно существовал макрос, который позволяет изменять форматирование всех формул в документе за один раз. Однако пользоваться им простому пользователю очень уж муторно.
Поэтому я решил сделать расширение к LibreOffice, которое в режиме диалога запросит у пользователя вводные по размеру шрифта и самому шрифту и выполнит форматирование всех формул в документе.
Начал я вот в этой теме на нашем форуме. После чего Майк решил немного это дело расширить и дополнить, и в итоге мы имеем сейчас версию 0.1.5. На сегодня разработка и улучшение расширения остановились, поскольку я не кодер, а Майк крайне занят основной работой.
Также я это расширение опубликовал на официальном сайте с расширениями для LibreOffice — https://extensions.libreoffice.org/extensions/formatting-of-all-math-formulas.
Расширение нужно скачать и установить в LibreOffice. После установки расширения в меню Сервис -> Дополнения появится пункт FaF, при нажатии на который появится вот такой диалог:

В первом поле нужно ввести размер шрифта (меньше 4 вводить нельзя). В выпадающем списке ниже можно выбрать шрифт из имеющихся в системе. Учтите, что если в формулах был какой-то редкий шрифт, и он не установлен в системе, то восстановить вид формул не получится, отмена действия в данном случае не сработает. При этом можно оставить шрифт пустым, тогда изменится только размер шрифта на указанный выше.
После настроек нажмите кнопку Formatting, чтобы отформатировать все формулы.
Также есть возможность изменять только выделенные формулы. Вы можете выделить только кусок текстового документа, либо часть слайдов презентации или только несколько объектов на листе Draw, запустить диалог FaF, настроить нужные параметры и нажать на кнопку Formatting only in selection, чтобы отформатировать только выделенные формулы.
Обо всех проблемах данного расширения, с которыми вы столкнетесь, можно (и нужно) написать в тему на форуме, указанную выше.
Заметки программистера

Math имеет достаточно простой и интуитивный интерфейс. Большинство символов математических операций и элементов вынесены на специальную панель Элементы, позволяющую пользоваться мышью, для набора формул.
В первое время знакомства с программой, эта панель очень выручает, но со временем количество обращения к ней будет снижаться и вы перестанете отвлекаться на то, чтобы шевелить мышью.
К сожалению, графический интерфейс в Math не раскрывает полностью всех возможностей этого пакета. Я постараюсь осветить самые важные детали языка набора формул.
Греческие и специальные символы
Синтаксис Math, для вставки греческих символов очень удобен. Для добавления символа используется следующая маска: % . Использование перед названием символа буквы i изменит шрифт вставляемого символа на курсив, написание название символа заглавными буквами сделает заглавным и сам вставляемый символ:
Функция вставки символов доступна и из графического интерфейса. На панели инструментов для этого существует кнопка Каталог , вызывающая палитру символов:
Управление шрифтом
Управление шрифтами происходит в диалоге Шрифты , вызываемом в Формат-Шрифты . Он достаточно прост и интуитивен, поэтому описывать его смысла нет. Единственное, что может показаться не очевидным, это вынесенный в отдельный диалог процесс управления размером шрифта: Формат-Кегли . И совсем не очевидным является решение задачи написание части формулы с отличающимися от общих настроек параметрами (например, распространенный способ обозначения векторов — писать их жирным, не наклонным шрифтом). Для управления шрифтом части формулы используются следующие инструкции:
- italic и bold позволяют включать курсивное и жирное написание соответственно. Дополнительная приставка n для italic и bold инвертирует действие инструкций, т.е. если italic включает режим курсива, для следующей за ней части формулы, то nitalic принудительно курсив отключает. Обратите внимание, nitalic отменяет действие приставки i в написании греческих символов!
- underline, overstrike, overline применяют подчеркивание, зачеркивание и вставляют линию сверху текста соответственно.
- fontизменяет тип шрифта : Serif, Sans или Fixed.
- sizeизменяет размер шрифта.
- colorизменяет цвет шрифта (первым аргументом должно идти название цвета, к сожалению, полный перечень доступных цветов мне не известен, поделитесь, если знаете).
- phantom — делает часть формулы невидимой .
Скобки
Следующим достойным внимания аспектом, является расстановка скобок. Прежде всего, следует отметить, что скобки в Math делятся на масштабируемые и немасштабируемые. Разница между ними заключается в том, что первые скобки могут растягиваться на несколько строк, а вторые нет. Полный перечень доступных скобок и их кодов можно посмотреть на странице помощи проекта.
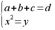
Обращу лишь ваше внимание на то, как построить формулу с системой уравнений, объединенных одиночной фигурной скобкой (самому пришлось немного покопаться в поисках решения).
Прежде всего, кодом масштабируемых фигурных скобок являются lbrace и rbrace (левая и правая соответственно). Для обрамления формулы в скобки используются коды left — для постановки скобки слева и right — для постановки скобки справа. Эти коды используются всегда в паре и опустить правую скобку нельзя. Но! Можно указать «никакую» скобку с кодом none .
Между кодами left и right код переноса на новую строку newline не работает. Здесь, для размещения выражений на нескольких строчках, используется код stack # # > .
Последним важным нюансом является следующий момент: поумолчанию, выражения будут выравнены по центру, и более короткие выражения не будут прижаты к скобке. Чтобы это исправить, следует использовать код alignl , выравнивающий следующее за ним выражение по левому краю.
Небольшой FAQ
Q: Во Writer отвлекаться на вставку формулы через меню не очень удобно. Можно ли упростить процесс создания формулы?
A: Вставлять каждый раз пустую формулу не обязательно. Можно набирать формулу непосредственно в самом текст, после чего выделить набранное и выполнить
Вставка — Объект — Формула Math .
Q: Есть ли горячая клавиша для вставки формулы во Writer?
A: Поумолчанию, для вставки формулы горячих клавиш не предусмотрен. Но задать комбинацию самостоятельно очень просто: Сервис-Настройка-Клавиатура .
Q: Как вставить формулу в соответствии с ГОСТом?
Выдержка из ГОСТ 7.32-2001
1 6.8 Формулы и уравнения
6.8.1 Уравнения и формулы следует выделять из текста в отдельную строку. Выше и ниже каждой формулы или уравнения должно быть оставлено не менее одной свободной строки. Если уравнение не умещается в одну строку, то оно должно быть перенесено после знака равенства (=) или после знаков плюс (+), минус (-), умножения (х), деления (:), или других математических знаков, причем знак в начале следующей строки повторяют. При переносе формулы на знаке, символизирующем операцию умножения, применяют знак «X».
6.8.2 Пояснение значений символов и числовых коэффициентов следует приводить непосредственно под формулой в той же последовательности, в которой они даны в формуле.
6.8.3 Формулы в отчете следует нумеровать порядковой нумерацией в пределах всего отчета арабскими цифрами в круглых скобках в крайнем правом положении на строке.
Пример
Одну формулу обозначают — (1).
6.8.4 Формулы, помещаемые в приложениях, должны нумероваться отдельной нумерацией арабскими цифрами в пределах каждого приложения с добавлением перед каждой цифрой обозначения приложения, например формула (B.1).
6.8.5 Ссылки в тексте на порядковые номера формул дают в скобках. Пример -. в формуле (1).
6.8.6 Допускается нумерация формул в пределах раздела. В этом случае номер формулы состоит из номера раздела и порядкового номера формулы, разделенных точкой, например (3.1).
6.8.7 Порядок изложения в отчете математических уравнений такой же, как и формул.
6.8.8 В отчете допускается выполнение формул и уравнений рукописным способом черными чернилами.
A: Для размещения формул в тексте согласно ГОСТу, в Writer есть комбинация клавиш fn , автоматически вставляющая невидимую таблицу, в которой в первой ячейке располагается формула, а во второй, прижавшись к правому краю, номер формулы в круглых скобках. Причем номер формулы может автоматически обновляться в соответствии с количеством формул вставленных в документе ранее.
Q: После нескольких правок формулы в таблице, начинает увеличиваться пустое пространство после формулы. Как с этим бороться?
A: Судя по всему это баг. Самый простой способ лечения — вырезать формулу (Ctrl+x) и ставить ее заново (Ctrl+v).
Q: Как вставить в формулу вертикальную черту? Почему она заменяется на V ?
A: Это символ логического ИЛИ. Не самое удачное решение, на мой взгляд, т.к. использование вертикальной черты часто бывает необходимым. Тем не менее, проблема решается через вставку специального символа из диалога Символы . К сожалению, вертикальной черты нет в наборе специальных символов поумолчанию и добавлять ее надо вручную. Выберите в выпадающем списке Специальный , нажмите Изменить и добавьте символ с кодом %Ux2223.
UPD: В комментариях предложили более простое решение:
Часто бывает необходимо также вставить и знак процента. Чтобы либр не заменял их, эти символы можно заключить в кавычки, например так «|»
Q: Как указать пределы для интеграла/суммы/произведения?
A: Указания границ для интегралов, сумм и произведений несколько разнятся. В частности, для суммы предусмотрен специальный синтаксис from> to> позволяющий указать пределы. Но он не пригоден для использования в интегралах и произведениях. Гораздо удобнее придерживаться унифицированного подхода и использовать верхний индекс csup > и нижний индекс csub > .
Что еще почитать:
- LibreOffice Help | Атрибуты
- LibreOffice Help | Скобки
- LibreOffice Help | Форматирование
- ГОСТ 7.32-2001
Легкий способ записывать лекции по техническим предметам с LibreOffice Math
Проблема:
Я регулярно езжу на работу в метро, и вижу молодых людей, вероятно, студентов, с макбуками, планшетами, айфонами и айпадами. Ну, то есть, понятно, что они живут в ногу со временем — твиттер там, фейсбук наверняка, инстаграмм. Может, даже наверное смотрят лекции на Coursera. Удивляет то, что при всем при этом, студенты читают конспекты рукописных лекций в тетрадке — с сокращениями, таблицами, подчеркнутыми снизу определениями терминов и т.п. И вот эти рукописные тетрадки вызвают у меня когнитивный диссонанс — ну почему нельзя в 2012 году писать лекции на ноутбуке?
Ведь решение давно известно — OpenOffice/LibreOffice.
Если ты гуманитарий, то тут вообще всё нереально просто — в твоих лекциях наверняка нет ни формул, ни графиков, ни чертежей, ничего, кроме текста и таблиц. Сиди на лекции, слушай препода, печатай себе текст в каком-нибудь Ворде. Скорость печати у большинства людей выше скорости написания рукой — это факт. Плюс, такая фича, как автодополнение значительно повышают скорость печати — если слово «инновация» уже встречалось в тексте несколько раз, то как только ты начинаешь писать «инно», OpenOffice/LibreOffice предложит дополнить его до нужного. Нажал enter, ввел слово.
Если же ты инженер, и имеешь дело с математическими формулами, то для тебя давным-давно придуман бесплатный OpenOffice.org или его нынешняя свободная GPL-версия LibreOffice. Фишка этих пакетов в том, что там есть невероятно удобный редактор математических формул, который своим синтаксисом, кстати, очень похож на TeX. В MS Office средство ввода математических формул тоже есть, но удобным для себя я бы его точно не назвал — там нужно тыкать мышкой — это банально долго.

Итак, как это работает. Допустим, нам нужно записать следующую математическую формулу:
Если писать её ручкой, на листке бумаги, это займет у меня 20 секунд.
Во встроенном в LibreOffice редакторе математических формул она будет выглядеть следующим образом:
lint from Г vec H d vec l = int from S vec j d vec S + int from S over > d vec S
и ее написание займет у меня 15 секунд. В случае, если похожая по структуре формула уже попадалась в лекции, я просто скопирую её, вставлю и отредактирую изменения. Это займет еще меньше времени.
На мой взгляд, метод записи очень понятен и логичен — понятно ведь, что int — это интеграл, from — нижний предел, to — это верхний предел, lint — интеграл по поверхности. Ну и, естественно, язык разметки — интерпретируемый, то есть, формула становится видна сразу по ходу ввода. Ввели int — появился знак интеграла, ввели int from… to… — появились пределы интегрирования, и т.д.

Ну а вот так выглядит кусок лекции, которые я писал в институте в 2009 году. Выбрал этот предмет, потому что он был наиболее труден для записи — куча формул, куча графиков:
Прим.: момент «тут я сдался» характеризует всю аудиторию, а не только меня, потому что к тому моменту никто из аудитории не понимал, что происходит.
- Все мои лекции, которые я писал до сих хранятся у меня в дропбоксе. Где мои рукописные лекции, я не помню.
- Не нужно разбираться с почерком.
- Я спокойно могу конвертнуть лекцию в pdf и отправить своему однокурснику. Ему тоже не надо разбираться с моим почерком.
- Удобно готовить шпаргалки. Nuff said.
- Ну и моё любое — когда препод, выводя очередную формулу, понимает, что десять минут назад он совершил ошибку, извиняется, и начинает методично исправлять три исписанные доски формул, вся аудитория выдыхает в праведном гневе — им нужно править рукописный текст, превращая рукописную лекцию в фарш. В моем же случае, мне только нужно подправить несколько формул. Внешняя опрятность лекции при этом естественно не меняется.
- Все на потоке хотят с тобой дружить, потому что у тебя — самые понятные лекции, хе-хе.
- Один раз преподаватель по терверу попросил меня скинуть ему лекции. Это был мой час славы, конечно.
Минусы:
- все, что выходило за рамки математики и примитивной графики, вызывало у меня лютый баттхёрт. Например, нарисовать вот это не вызывало никаких проблем — я пользоваться сторонними редакторами схем:

А вот уже осуществить вот это в режиме лекции было практически нереально:
- имея дело с пожилыми преподавателями на экзамене, было очень сложно демонстрировать свои лекции и объяснять им то, что я действительно писал их самостоятельно. Да, помните, я вот там вот у вас сидел. Да, на ноутбуке. Да, это такой редактор.
Подробнее про язык редактирования формул можно почитать вот тут.
Сам пакет LibreOffice доступен для скачивания здесь.
Вот пример одной из лекций в формате .odt, которые писались мною в 2009 году.
К сожалению, я закончил своё очное обучение пару лет назад — тогда, в 2010 году, лекции в таком формате, к сожалению, не писал никто. И это несмотря на то, что это был один из лучших технических вузов Москвы, готовящий будущих инженеров связи.
В-общем, интересно было бы узнать, как с этим дела обстоят у вас институте? Исправления, комментарии, замечания are welcome!
Глава 9 – Редактор формул LibreOffice Math¶
Math — модуль LibreOffice для написания математических и химических формул. Math обычно используется как редактор формул для текстовых документов, но также может быть использован в других типах документов (презентациях, таблицах, рисунках) или автономно. При использовании внутри Writer, формула обрабатывается как объект в текстовом документе.
Math используется для записи формул в символическом виде, как в формуле (1), и не предназначен для расчетов. Для расчета числовых значений используйте модуль Calc (см. руководство по Calc).

Начало работы¶
Math может быть запущен автономно или вызван из других модулей LibreOffice (Writer, Impress, Calc, Draw).
Создание формулы в виде отдельного документа¶
Чтобы создать формулу в виде отдельного документа, откройте модуль LibreOffice Math одним из следующих способов:
- В Стартовом центре выберите Формула Math ;
- Если LibreOffice уже открыт, в строке меню выберите Ф айл ‣ С оздать ‣ Ф ормулу .
- На стандартной панели инструментов нажмите на треугольник справа от кнопки Создать и выберите Формулу .
Откроется пустой документ Math (рисунок Новый документ Math ).

Новый документ Math
В верхней части находится окно предварительного просмотра, в котором отображается вводимая формула. В нижней части находится редактор формул, в который вводится код разметки формулы. Слева находится прикрепляемая панель элементов.
Вставка формулы в документ Writer¶
Чтобы вставить формулу в документ Writer, откройте документ и выберите пункт Вставка ‣ Объект ‣ Формула .
Редактор формул откроется в нижней части окна Writer. А в документе появится небольшой прямоугольник с серыми границами, в котором будет отображаться формула. В зависимости от настроек, может также появиться панель элементов.

Вставка формулы в документ Writer
После завершения ввода формулы, можно закрыть редактор клавишей Esc или щелкнув область за пределами формулы в основном документе. Двойной щелчок левой кнопкой мыши по формуле снова откроет редактор, позволяя изменить формулу.
Формулы вставляются в качестве объектов OLE . В текстовых документах Writer, формула вставляется с привязкой как символ по умолчанию, чтобы не разрывать текст. Как и у любого другого OLE-объекта, привязка формулы может быть изменена, чтобы сделать её плавающей. В Calc, Impress и Draw документах формулы внедряются как плавающие OLE-объекты.
Чтобы упростить процесс вставки формул, можно добавить кнопку Формула на стандартную панель инструментов или создать сочетание клавиш. Смотрите Главу 14: Настройка LibreOffice.
Ввод формулы¶
Для написания формулы в Math используется специальный язык разметки, состоящий из команд, которые вводятся в редактор формул. Например, команда %beta вводит символ бета (β) греческого алфавита.

Выбор категорий символов на боковой панели
Пример 1¶

Для примера введем с помощью боковой панели элементов простую формулу: .
- Убедитесь, что в выпадающем списке выбрана категория Унарные/бинарные операторы (см. рисунок Выбор категорий символов на боковой панели );
- Выберите символ Умножение (крестик) (см. рисунок Выбор символа );

После выбора символа умножения крестиком произойдет две вещи:
- В редакторе формул появится разметка: times ;
- В теле документа появится серый блок со следующим содержанием ❑×❑ .

Результат выбора символа
Символы , показанные на рисунке выше, нужно заменить собственными значениями, например, 5×4 .

Результат ввода значений
Для перемещения между символами можно использовать клавиши F4 и Shift+F4 (перемещает в обратном направлении).
Для автоматического обновления отображения формулы выберите Вид ‣ Автообновление экрана . Чтобы обновить формулу вручную, нажмите F9 , или выберите Вид ‣ Обновить .
Панель Элементы¶
Аналогично боковой панели для быстрого набора формул можно использовать панель Элементы . Для её отображения перейдите в Вид ‣ Элементы .
Панель Элементы также разделена на две области:
- В верхней области показаны категории символов. Нажмите на категорию, чтобы изменить список символов в нижней части;
- В нижней части отображается список символов, доступный в выбранной категории (см. рисунок Панель Элементы ).

Контекстное меню¶
Другим способом быстрого ввода формул является использование контекстного меню, которое вызывается нажатием правой кнопки мыши в редакторе формул. Элементы контекстного меню соответствуют элементам окна Элементы , с некоторыми дополнительными командами.

Разметка¶
Вы можете вводить команды языка разметки непосредственно в редакторе формул. Например, вы можете непосредственно ввести 5 times 4 , чтобы получить 5 × 4 . Если вы знаете язык разметки, это может быть самым быстрым способом ввода формул.
Язык разметки формул напоминает чтение формулы по-английски.
Ниже приведен краткий список общих выражений и соответствующая им разметки.
| Результат | Разметка | Результат | Разметка |
|---|---|---|---|
![]() |
a = b | ![]() |
sqrt |
![]() |
a^2 | ![]() |
a_n |
![]() |
int f(x) dx | ![]() |
sum a_n |
![]() |
a | ![]() |
infinity |
![]() |
a times b | ![]() |
x cdot y |
Символы греческого алфавита¶
Символы греческого алфавита (α, β, γ, θ, и т.д.) широко используются в математических формулах.
Эти символы не доступны в окне Элементы , на боковой панели или в контекстном меню. Для их набора используется простая разметка. Символы греческого алфавита набираются так же, как и пишутся по-английски и предваряются знаком процента % , например: %alpha позволяет набрать символ α .
- Чтобы записать символ в нижнем регистре, введите имя символа в нижнем регистре;
- Для ввода прописной буквы, введите имя символа в верхнем регистре;
- Для записи курсивом, просто добавьте i между знаком % и названием буквы.
Полная таблица символов греческого алфавита приведена в приложении Руководства по Math. В таблице ниже приведены несколько примеров.
| Нижний регистр | Верхний регистр | Курсив нижний регистр | Курсив верхний регистр | ||||||||||||||||||||||||||||||||||||||||||||||||||||||||||||||||||||||
|---|---|---|---|---|---|---|---|---|---|---|---|---|---|---|---|---|---|---|---|---|---|---|---|---|---|---|---|---|---|---|---|---|---|---|---|---|---|---|---|---|---|---|---|---|---|---|---|---|---|---|---|---|---|---|---|---|---|---|---|---|---|---|---|---|---|---|---|---|---|---|---|---|---|
| %alpha → α | %ALPHA → ![]() |
%ialpha → ![]() |
%iALPHA → ![]() |
||||||||||||||||||||||||||||||||||||||||||||||||||||||||||||||||||||||
| %beta → β | %BETA → ![]() |
%iBETA → ![]() |
|||||||||||||||||||||||||||||||||||||||||||||||||||||||||||||||||||||||
| %gamma → γ | %GAMMA → ![]() |
%igamma → ![]() |
%iGAMMA → ![]() |
%ipsi → ![]() |
%iPSI → ![]() |
%iphi → ![]() |
%iPHI → ![]() |
%itheta → ![]() |
%iTHETA →
Пример 2:¶Введем выражение π ≃ 3.14159 . Для этого выполним следующие шаги: Шаг 1: Выберите в Каталоге символ π или введите в редакторе формул разметку %pi . Шаг 2: Откройте окно Элементы ( Вид ‣ Элементы ). Или воспользуйтесь боковой панелью. Шаг 3: Перейдите в категорию Отношения и выберите символ ≃ (Подобно или равно). Если навести курсор мыши на элемент, то появится всплывающая подсказка (как на рисунке Окно Элементы ).
Шаг 4: Теперь в редакторе формул отображается разметка %pi simeq Шаг 5: Удалите первый символ , а затем нажмите клавишу F4 , чтобы перейти к следующему символу . Шаг 6: Замените символ на 3.14159 . В итоге, мы получим разметку %pi simeq 3.14159 . Результат показан на рисунке ниже.
Изменение формулы¶Изменить формулу можно в любой момент. Для переключения в режим редактирования, дважды щелкните на формуле левой кнопкой мыши. Чтобы перейти к соответствующему месту в коде разметки, выполните одно из следующих действий:
Чтобы второй способ работал, на панели инструментов должна быть активирована кнопка Курсор формулы (смотрите рисунок Изменение формулы ) Вы можете изменить формулу путем перезаписи выделенного текста или вставкой нового кода разметки в то место, где находится курсор. Разметка формул¶Больше всего трудностей при использовании LibreOffice Math вызывает написание сложных формул. Этот раздел содержит несколько советов. Скобки¶Math ничего не знает о порядке операций. Необходимо использовать фигурные скобки для группировки, чтобы явно задать порядок следования выражений. Рассмотрим следующие примеры:
Строки в матрицах разделяются двумя символами решетки ## , столбцы – одним # . Первая проблема с матрицами, возникающая у людей, заключается в том, что скобки не масштабируются. Т.е. размер скобок не увеличивается в зависимости от содержания.
Math позволяет вводить масштабируемые скобки с помощью добавления команд left и right перед открывающейся и закрывающейся скобками соответственно.
Используйте команды left [ и right ] , чтобы получить масштабируемые квадратные скобки. Список всех доступных скобок приведен в Руководстве по Math. Масштабируемые скобки могут быть использованы с любыми элементами такими, как дроби, квадратным корнем и т.д. Одиночные и непарные скобки¶При вводе формул Math ожидает, что каждая открывающаяся скобка будет иметь закрывающуюся. Если не ввести закрывающуюся скобку, то Math отобразит формулу с ошибкой. На месте отсутствующей закрывающейся скобки будет стоять перевернутый вопросительный знак, который исчезнет после того как будет введена соответствующая закрывающаяся скобка. В случае, когда нужно ввести непарную скобку, решение зависит от типа используемых скобок. Для не масштабируемых скобок достаточно использовать обратный слэш \ перед скобкой, чтобы указать, что следующий за ним символ не следует рассматривать как скобки. Следовательно, Math не будет ждать ввода закрывающейся скобки.
Для масштабируемых скобок используются команды left (ставится перед открывающейся скобкой) и right (ставится перед закрывающейся скобкой). Чтобы ввести одиночную масштабируемую скобку, необходимо вместо закрывающейся скобки использовать команду right none .
|































![(-5, 7]](https://libreoffice.readthedocs.io/ru/latest/_images/math/3f9e8f8e61b84efad3b3fa09913492d65a77533e.png)


















C как скопировать запущенный файл